我校环境学院张继权教授环境/灾害风险综合评价与安全协同防控团队在利用卫星遥感指标估算植被蒸散方面取得重要研究进展。本研究提出一种新的植被蒸散的估算模型,模型基于NIRvP(近红外反射率指数NIRv与光合有效辐射PAR的乘积),采用随机森林方法实现潜在蒸散(ETo)和实际蒸散(ET)的估算,获得0.05°分辨率的中国ETo以及美国和欧洲的ET。该成果以“NIRvP在估算蒸散量方面的潜力”为题,发表于遥感领域国际顶级期刊《Remote Sensing of Environment》;第一作者为博士研究生查尔斯,通讯作者为环境学院张继权教授。

研究背景 | Background
蒸散(ET)是指通过土壤蒸发和植物蒸腾作用损失到大气中的水总量。蒸散是水循环的关键组成部分,在水、能量和碳水化合物的循环中起着重要作用。相应地,作物参考蒸散量(ETo)与ET作为植物需水量的重要指标,对农业生产和水资源管理至关重要。ETo或者ET的准确估算可以帮助农业合理安排水资源,从而提高农田水资源利用效率,适应区域和季节性需求变化。同时,可靠的ETo或ET数据对于准确模拟全球水循环和气候模型至关重要。由于地面观测站数量和分布的限制,准确估算区域尺度或全球ETo和ET一直是一个挑战。
最近开发的近红外反射指数(NIRv)已被证明与植被光合作用密切相关,并且还具有估算总初级生产力(GPP)的潜力。NIRv和光合有效辐射(PAR)的乘积NIRvP已被证明是植被光合作用的更稳健指标,并且通过比较,NIRvP和GPP之间的关系可能优于日光诱导叶绿素荧光(SIF)。此外,植被光合作用、代谢过程、气孔导度和蒸腾作用在一定程度上是耦合的。因此,这些新开发的指数在估算ET或ETo方面也具有很大的潜力。因此,比较和识别更有利的遥感指标对于准确的ET或ETo估算具有重要意义。
基于上述几点,本研究的主要目标是:(1)比较不同卫星衍生的SIF(主要来自OCO-2和TROPOMI等更高分辨率传感器)、NIRv和NIRvP在估算ET或ETo方面的能力;(2)使用最佳指数逐像元估算中国ETo和欧洲和美国ET,并与现有产品进行精度对比;(3)揭示影响最优估算指数与ET或ETo之间关系的因素。本研究的理论意义在于通过比较和验证不同指标估算ET的有效性,为估算植被蒸散量提供更准确、更可靠的方法。为全球范围内的水文循环、生态系统监测和水资源管理提供更可靠的数据支持。在实践中,它对农业灌溉、水资源规划和环境管理具有重要价值,有助于优化农业生产,提高水资源利用效率,为环境保护和可持续发展提供科学依据。
研究方法 | Methodology
本研究根据菲克定律和最佳气孔行为模型,结合植被光合作用指标和气象参数,开发了一个半经验模型ETo(ET) = f (NIRvP × VPD0.5)。利用地面观测的气象站点数据分别基于Penman-Monteith方程和Priestly-Taylor方程计算参考作物蒸散ETo-PT和ETo-PT作为ETo真值。选择中国作为研究区,对比SIF、NIRv和NIRvP与ETo-PT和ETo-PT的线性和非线性关系(机器学习模型包括:岭回归Ridge,支持向量机SVR和随机森林RF);利用FLUX NET数据集的潜热通量(LE)数据,根据潜热通量转换公式得到FLUX ET作为ET真值,选择美国和欧洲作为研究区,对比SIF、NIRv和NIRvP与FLUX ET的线性和非线性关系;再利用最优估算指标与辅助指标,基于随机森林模型,我们精准估算了中国的ETo和美国及欧洲的ET。
本研究的主要贡献是:
(1)根据研究结果,NIRvP在估算ETo和ET方面表现良好,其性能可能优于SIF。
(2)本研究所提出的模型更简单,使用的参数更少。对比具有更复杂模型的传统方法,本研究提出的方法减少了计算成本和提高精度。

图1 技术路线
核心结论 | Results
相比各种SIF和NIRv,NIRvP与ETo-PM和ET的线性关系更强。同时,经过VPD0.5的缩放,NIRvP与ETo-PM的线性关系得到增强。非线性关系上,基于性能最佳的RF的结果表明,NIRvP×VPD0.5拟合的ETo仍然具有最高的R2;NIRvP和VPD0.5拟合ET也具有最高的R2。

图2 各指标逐站点拟合ETo-PM的R2的空间分布

图3 基于RF模型利用各指标逐站点拟合ETo-PM的R2的空间分布

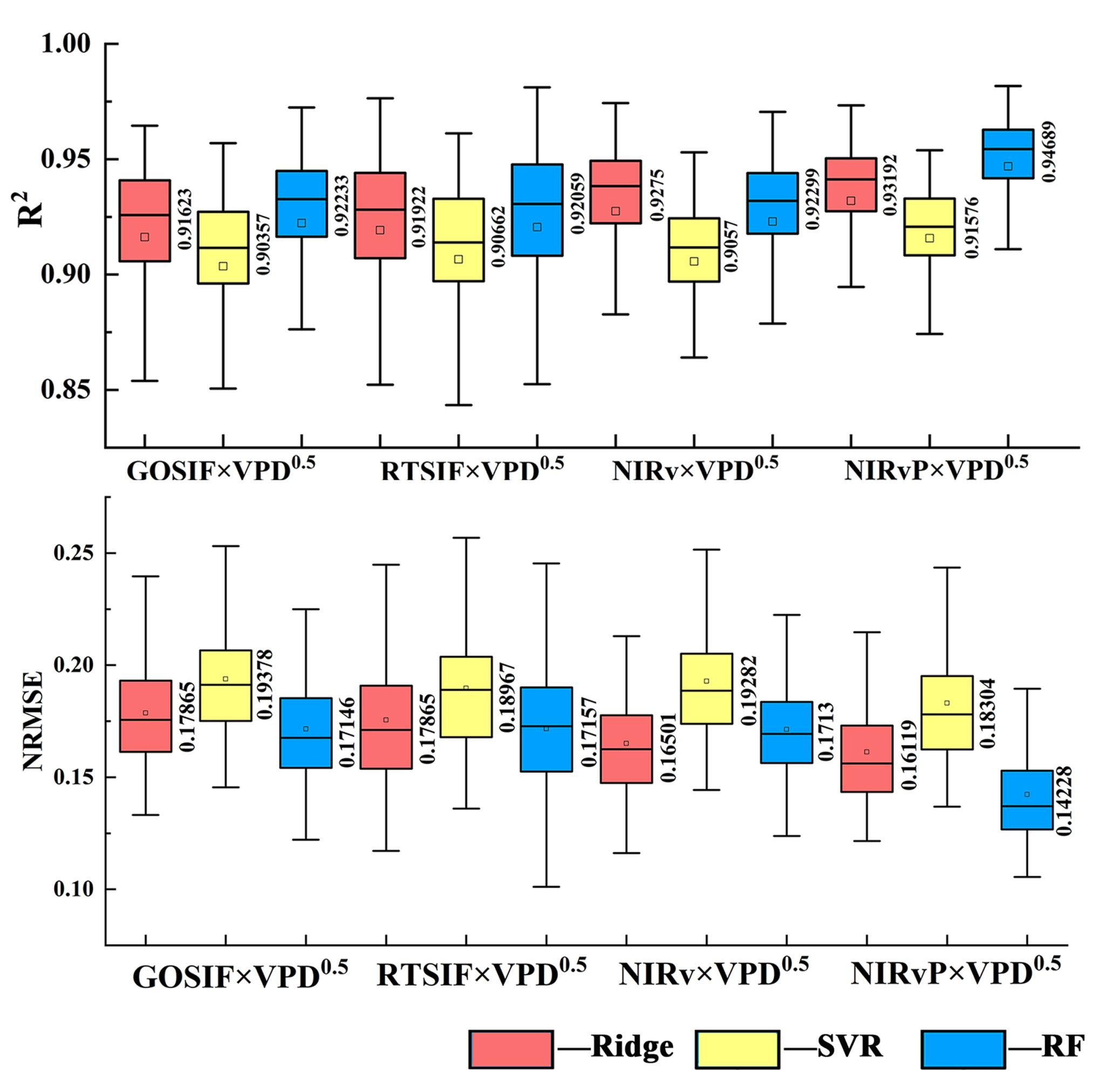
图4 基于三个机器学习模型,各种指标拟合ETo-PM的R2和NRMSE

图5 各种指标与FLUX ET之间的线性关系比较

图6 基于三个机器学习模型,对各指标对观测ET拟合R2和重要性评价
由于影响蒸散的因素多种多样,仅使用植被遥感数据估算蒸散可能还不够。这里介绍一些除植被遥感指标外的辅助指标,以进一步估算蒸散量。我们共选择了7个辅助指标(包括降水PRE、气压PRS、温度TEM、短波辐射SRD、光合有效辐射PAR、相对湿度RH和土壤湿度SM)作为特征变量来辅助估算ETo和ET。通过对比不同辅助指标组合的估算精度,我们确定了最佳的辅助指标:TEM和PAR,实现了拟合精度R2高达0.9368。此外,通过累积组合,我们也确定了估算ET的最佳特征指标:PRS、PAR和SM,实现了拟合精度R2高达0.7824。

图7 基于NIRvP和不同的辅助指标组合估算的ETo(a)和ET(b)R2的对比
我们分别对比了基于NIRvP×VPD0.5估算的ETo、ERA5 PET、GLEAM PET、MODIS PET与ETo-PM.的精度,结果表明,根据NIRvP ×VPD0.5估算的ETo的精度高于其他三种产品。我们又对比了使用NIRvP 估算的ETNIRvP、BESS ET、ERA5 ET、GLEAM ET、MODIS ET与FLUX ET的精度,结果表明,对比其他产品,ETNIRvP与FLUX ET具有最高的R2。这说明NIRvP在估算ETo和ET方面具有巨大潜力。因此,我们有理由认为NIRvP作为植被光合活性的另一个指标,具有估算大尺度ETo和ET的潜力。

图8 根据NIRvP × VPD0.5估算ETo与其他三种PET产品的精度比较

图9 根据NIRvP估算ET与其他四种ET产品的精度比较
该研究得到了国家“十四五”重点研发项目、国家自然科学基金区域创新发展联合基金(重点项目)、国际 (区域) 合作与交流项目、吉林省重大科技计划项目等项目的支持。
文章引用格式 | Reference:
Ersi, C., Sudu, B., Song, Z., Bao, Y., Wei, S., Zhang, J. et al. (2024). The potential of NIRvP in estimating evapotranspiration. Remote Sensing of Environment, 315, 114405.
论文链接 | Link:
https://doi.org/10.1016/j.rse.2024.114405